改进设计的滑板车车架结构及模态分析外文翻译资料
2022-08-14 15:47:10


英语原文共 11 页,剩余内容已隐藏,支付完成后下载完整资料
www.sciencedirect.com在线提供
科学方向
今日材料:第16期(2019)1106–1116www.materialstoday.com/proceedings
ICAMMAS17
改进设计的滑板车车架结构及模态分析
巴拉古鲁·S1,伊兰戈·纳塔拉贾纳2,拉梅什·S3,穆图维贾延·B4
1-机械工程系,Vel Tech Rangarajan博士萨贡塔拉Ramp;D科学技术学院,钦奈-62 2-工程学院,UCSI大学(北校区),切拉斯,马来西亚
3- KCG理工学院,钦奈卡拉帕克坎-97
4-前m 钦奈巴拉科技学院理工学生,73级
文摘——本文讨论了不同载荷情况下底盘的应力和变形,并通过模态分析确定了失效模式。 它从不同滑板车车架在材料选择、机械性能和所用截面方面的基准研究开始(通常圆形截面是优选的,因为它易于制造,在不同载荷情况下载荷分布均匀,以及一些其他几何原因)。 然后在各种载荷作用下对车架进行了结构和模态分析。 它包括三维建模、网格划分和有限元分析。 因此,完成了以下工作。 即(1)验证车架设计,即使用有限元分析进行应力和变形计算,并提出设计建议,(2)对车架结构、载荷特性、踏板车车架构件的冶金和机械性能进行基准研究,(3)识别临界应力区域,并通过识别车架的不同模态和固有频率,从模态分析中提出设计改进建议。
2019年爱思唯尔有限公司 保留所有权利。
材料、制造和应用科学进展国际会议负责的选择和/或同行评审。
关键词:结构分析,模态分析,滑板车车架,固有频率,啮合
介绍
双轮车的底盘包括车架、车轮、制动器和悬架。 两轮车的风格取决于它的底盘。 底盘是车辆的重要运输系统。 框架作为安装发动机和齿轮箱的骨架。 车架的材料可以是铝、钢或合金,这样就不会因为路面的起伏而弯曲。 此外,如果发生任何变形,不应将其传递给人体,因为人体框架的抗扭性应该很高。
研究方法
以不同踏板车车架为基准,测量管的厚度、直径和安装位置支架以及厚度。 收集框架及其相关零件的材料属性。 进行设计计算并假设所需参数。 在PRO ENGINEER中为不同尺寸的框架结构建模。 这些模型的有限元网格划分将在HYPERMESH中进行。 元素属性既可以在HYPERMESH中定义,也可以在ANSYS中定义。 本文中,元素和负载参数是在hyperMesh中定义的。 这些网格模型被带到ANSYS求解器中进行求解。 记录结果并进行分析
- 相应的作者。 电话。: 919444465649电子邮件地址:balaguru_iit@yahoo.co.in
2214-7853 2019爱思唯尔有限公司 保留所有权利。
材料、制造和应用科学进展国际会议负责的选择和/或同行评审。
巴拉古鲁等人/今日材料:会议录16(2019)1106–11161107
- 三维模型的发展——计算机辅助设计
创建精确的几何模型是有限元分析的第一个关键步骤。 为了正确的分析,几何模型应该准确地表示物理对象。 虽然有几种计算机辅助设计模型可用于设计,但它们不具备有限元网格操作所需的质量。 因此,从啮合的角度来看,在模型的建模过程中必须特别小心。
- 有限元分析基础
有限元分析过程用于分析零件或组件,以准确评估产品寿命期间的性能完整性。 有限元分析允许工程师模拟结构行为,进行设计变更,并快速或甚至自动地看到设计变更的效果。 这个过程是一个计算机模拟的制造和制动过程,或者制造和制动过程,在这个过程中,一个物理原型被制造和测试,然后根据需要经常被重建和测试,直到一个可接受的设计被创造出来。 这种物理过程既昂贵又耗时。 但是有限元分析不能代替测试。 有限元分析支持和加强测试。 它特别有助于减少仍然必要的物理测试的数量。 有限元分析和测试应该一起使用,因为每一个都有独特的优势。
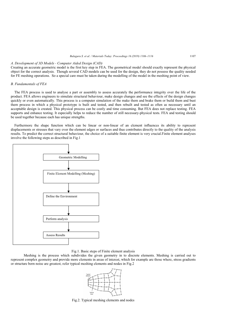
此外,单元的形状函数可以是线性的或非线性的,这影响了其表示在单元边缘或表面上变化的位移或应力的能力,因此直接有助于分析结果的质量。 为了预测正确的结构性能,选择合适的有限元是非常关键的。有限元分析包括以下步骤,如图1所示
Geometric Modelling
Finite Element Modelling (Meshing)
Define the Environment
Perform analysis
图1 有限元分析的基本步骤
Assess Results
网格划分是将给定的几何图形细分成离散元素的过程。 执行网格划分是为了表示复杂的几何形状,并在感兴趣的区域提供更多的元素,例如应力梯度或结构固有噪声最大的区域,参见图2中的典型网格划分元素和节点
图2 典型的网格元素和节点
1108巴拉古鲁等人/今日材料:会议录16(2019)1106–1116
A.固有频率和振型的确定
假设调和解{x} = {}辛t,并确定其一阶和二阶导数,从上式中得到以下形式
-2·[m]{} sint [c]{} sint = 0
([c)-2[m])){} = 0
设置2 =特征值问题简化为i M] {i} = 0,{i} =对应于特征值I的特征向量(或模式形状) [C -
{自然或特征频率)
对于与固有频率成比例的每个特征值,都有相应的特征向量或模式形状。 特征值与固有频率相关,如下所示:
fi = i / 2 = i / 2
由于计算模式的正交性,没有一个模式受到任何其他模式的影响。 这意味着每种模式都有其自身的特点,不能用其他模式的线性组合来描述。 每个模式形状都类似于静态位移形状,因为每个节点都有位移和旋转。 然而,缩放是模式形状和静态位移之间的重要区别。 在静态分析中,位移是由于施加载荷而产生的真实物理位移。 由于在正常模式分析中没有施加载荷,所以模式形状分量都可以通过任意因子进行缩放。 通常,这种缩放是这样进行的,使得任何模式下的最大位移为1.0
几何、设计和制造约束:
- 目标规格:-
图3描述了布局参数,图4给出了所设计的帧布局的各个参数细节
图3 两轮车几何布局参数
车轮底座 : 1310 mm
地面间隙带座垫的座椅高度:760毫米座椅底座高度毫米 : 150 : 660
车辆动力系统发动机 : 1200 Watts Battery : 24Ah x 4 : 75 cc
脚轮角度 : 25 ordm;
试验10毫米 : Approximately.
偏移毫米 : 42
框架厚度的重量) : 12 kg (1.6mm thick) amp; 14 kg (2mm
车轮中心至减震器
减震器安装角度:20°
离地间隙150毫米 : Approximately,
巴拉古鲁等人/今日材料:会议录16(2019)1106–11161109
图4 椭圆形管状截面框架布局
- 强度和刚度要求:
它受各种条件下的静态和动态载荷控制,如高速转弯、在不规则路面上行驶以及在颠簸和坑洼路面上行驶。 除此之外,还有其他负载,如骑手和枕头、油箱和其他车辆零件。 框架刚度应确保在各种运行条件下挠度最小。 车架刚度的典型值取自基准车辆,并使用多体软件(如ADAMS)基于车辆操纵模拟进行进一步微调。 车架刚度不足会导致车辆在转弯时不稳定,并影响操纵和机动性。 框架的强度应确保在运行条件下有最小的永久变形。 为了保证这一点,进行了有限元分析并计算了应力水平。 框架[框架管的强度]被固定在大于分析期间获得的应力值的值。
- 摩托车和踏板车的一般刚度要求
摩托车和踏板车的一般刚度要求见表1。 表1 摩托车和踏板车的一般刚度要求
合金钢悬架结构及模态分析
- 材料属性
杨氏模量N/mm2泊松比0.29 : 205000 :
密度3极限抗拉强度N/mm2 : 0.00000785 kg/mm : 520
屈服强度N/mm2 : 360
标准:内径为3074毫米 :CEW 1 steel tube for Auto motive Main tube : 48 mm ; Thickness : 3
长构件mm : Refer Fig.4 for elliptical section frame layout dimensional details Section: Elliptical amp; circular: Thickness: 1.6 mm amp; 2
1110 Balaguru s . et al ./Materials Today:Proceedings 16(2019)1106–1116
椭圆形截面的尺寸细节如图5所示
图5 椭圆形管状截面尺寸
椭圆形截面的截面模量(2 mm厚):0.001697 amp; 0.00212椭圆形截面的截面模量(1.6 mm厚):0.00141 amp; 0.00171圆形截面的截面模量(1.6 mm厚:外径41 mm):0.0019
- 超网格中的网格划分
表2列出了网格划分后为椭圆和圆形长构件创建的元素和节点的数量。 图6显示了在超级网格中为椭圆截面创建的元素和节点的数量
图6 在hyperMesh表2中为管状框架创建的元素和节点的数量。 元素和节点的数量
|
S.no |
Model Name |
No Of Elements |
No Of Nodes |
|
1 |
Scooter frame- elliptical long member |
215849 |
215199 |
|
2 |
Scooter frame-round long member |
213387 |
213011 |
以下是为网格选择的元素的属性:
元素类型:181 SHELL
MPC184
- 壳牌181元素描述
外壳181通常用于分析薄到中等厚度的外壳结构。 它是一个四节点单元,每个节点有六个自由度。即在X、Y和Z方向上的平移,以及围绕X、Y和Z轴的旋转。 退化三角形选项应该只用作网格生成中的填充元素。
负载和边界条件
巴拉古鲁等人/今日材料:会议录16(2019)1106–11161111
图7。 有限元分析的载荷条件
图7中所示的负载条件是通过考虑两个人(每个103公斤)和一个25公斤的小孩正乘着踏板车旅行而建立的。 除此之外,还要考虑质量为45公斤的电池和质量为2公斤的行李。 因此,总质量为278千克。 由于安全系数为2 (2g条件),总质量为556 kg。 根据设计的经验法则,骑手质量的30%的负荷被分配到手柄杆/头管区域。 自由度固定在前轮和后轮中心位置。 对于框架结构的不同厚度和截面,使用ANSYS创建并分析了相同的环境。
分析结果
位移图
图8和图9分别显示了1.6和2 mm厚椭圆形长构件的位移结果。
图8 1.6毫米厚椭圆形长构件。成员 Fig.9. 2 mm thick elliptical long
冯小姐压力图
图10。 1.6毫米厚椭圆形长构件。
1112 Balaguru s . et al ./Materials Today:Proceedings 16(2019)1106–1116
图11。 2 mm厚椭圆形长构件
图10和图11分别显示了1.6和2mm厚椭圆形长构件的应力结果。
侧偏载荷下的车架分析
本研究旨在分析车架的横向刚度,尤其是前侧转弯载荷。 作为重击规则,总载荷的10%可以作为施加载荷。
图12。 基准点框架转角荷载位移
承受转弯载荷的基准点框架如图12所示,并根据有限元分析值进行验证。 进行了实验室测试。 由于设计改进的建议正在实施,产品还没有出来,由于保密的原因,这些测试没有在
剩余内容已隐藏,支付完成后下载完整资料
资料编号:[235207],资料为PDF文档或Word文档,PDF文档可免费转换为Word


