双组份凝胶因子的制备及其凝胶性能的研究毕业论文
2020-02-14 14:39:55
摘 要
超分子水凝胶通常是由两种或者两种以上的小分子,通过氢键作用等非共价键的相互作用发生自组装形成的,其中双组份凝胶因子是最简单的一种,构成凝胶因子的两种小分子能够以不同的比例在水中形成凝胶。以1,10-菲罗啉(F)和均苯四甲酸(J)为基本构筑基元,采用不同的摩尔比(F:J=1:1,F:J=2:1,F:J=3:1)制备了一种双组份超分子水凝胶,通过多种手段对FJ21水凝胶的结构与性能进行测试表征。落球法测定相转变温度发现水凝胶的相转变温度随着浓度的增大而升高;离心法测定持水力(WHC)结果表明水凝胶具有较高的持水力和较好的机械性能;红外光谱测试结果表明在适当的条件下,小分子可以通过非共价键的驱动自组装形成超分子水凝胶,氢键是分子聚集的主要作用力;流变性能的测试表明随着温度的上升,水凝胶会发生凝胶-溶胶转变,机械性能逐渐下降;通过温度、金属阳离子和pH响应性测试结果可以看出该凝胶具有多重刺激响应性。具有多重环境响应性的双组份凝胶因子在智能控释、光电材料、分子识别、仿生材料等领域具有巨大的应用前景。探索水溶性更好、环境响应性更强的凝胶因子,开发其在生物医药、生物传感等领域应用价值,研究其作为温度传感器、金属阳离子传感器、pH传感器和药物缓释材料的可能性。
关键词:1,10-菲罗啉;均苯四甲酸;超分子水凝胶;氢键
Abstract
Supramolecular hydrogels are usually formed by self-assembly of two or more small molecules through the interaction of non-covalent bonds such as hydrogen bonding. Among them, the two-component gel factor is the simplest one, and the two small molecules constituting the gel factor can form a gel in water at different ratios. Based on 1,10-phenanthroline (F) and pyromellitic acid (J) as the basic building blocks, a two-component supramolecular hydrogel was prepared using different molar ratios (F:J=1:1, F:J=2:1, F:J=3:1). The structure and properties of FJ21 hydrogel were tested and characterized by various means. The phase transition temperature of the hydrogel was determined by the falling ball method. The determination of water holding capacity (WHC) by centrifugation showed that the hydrogel had higher WHC and better mechanical properties. Infrared spectroscopy test results show that small molecules can be self-assembled by non-covalent bonds to form supramolecular hydrogels under appropriate conditions. Hydrogen bonding is the main force for molecular aggregation. The rheological property test shows that gel-sol transitions occur in hydrogels as the temperature rises, and the mechanical properties gradually decrease. The gel has multiple stimuli responsiveness as a result of temperature, metal cation and pH responsiveness test results. The two-component gel factor with multiple environmental responsiveness has great application prospects in the fields of intelligent controlled release, photoelectric materials, molecular recognition, and biomimetic materials. Explore gelling factors that are more water soluble and more environmentally responsive. Develop its application value in biomedicine, biosensing, etc., and study its possibilities as a temperature sensor, metal cation sensor, pH sensor and drug release material.
Key Words: 1,10-phenanthroline; pyromellitic acid; supramolecular hydrogel; hydrogen bond
目 录
第1章 绪论 1
1.1 引言 1
1.2 超分子水凝胶 1
1.2.1 基于凝胶因子的超分子水凝胶 2
1.2.2 基于主客体包合物的超分子水凝胶 3
1.2.3 超分子水凝胶的制备方法 3
1.2.4 超分子水凝胶的表征方法 4
1.3 环境响应性凝胶 5
1.3.1 温度响应性 5
1.3.2 pH响应性 5
1.3.3 场响应性 5
1.4 本论文的研究目的及意义 6
第2章 1,10-菲罗啉/均苯四甲酸双组份凝胶因子的制备及其凝胶性能研究 8
2.1 前言 8
2.2 实验部分 8
2.2.1 主要原料 8
2.2.2 仪器及设备 9
2.2.3 实验步骤 9
2.3 测试表征 10
2.3.1 傅里叶转换红外(FTIR)测试 10
2.3.2 相转变温度(Tgel)的测定 10
2.3.3 流变性能的测试 10
2.3.4 持水力(WHC)的测试 10
2.3.5 温度响应测试 11
2.3.6 金属阳离子响应测试 11
2.3.7 pH响应测试 11
2.4 结果与讨论 11
2.4.1 水凝胶的形成 11
2.4.2 干凝胶的红外光谱分析 12
2.4.3 水凝胶的相转变温度分析 13
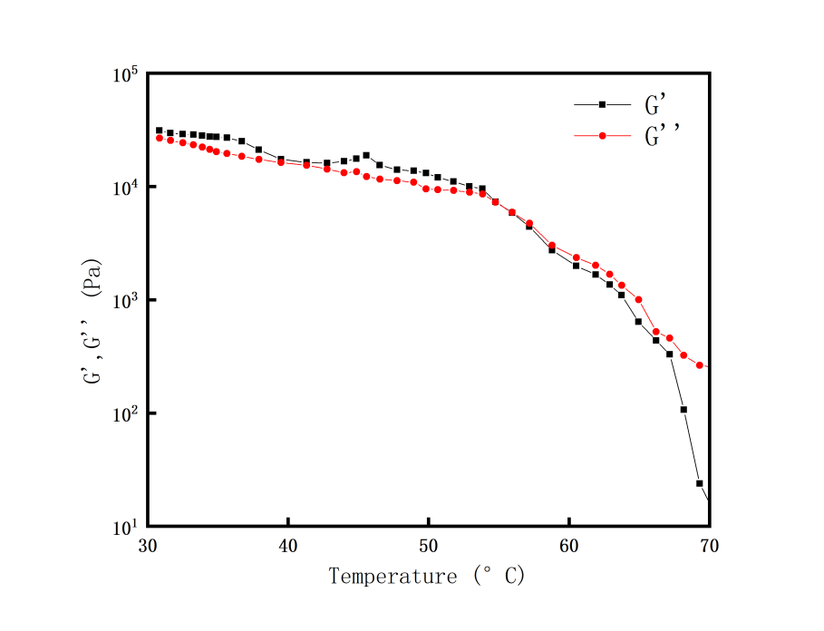
2.4.4 水凝胶的流变特征 14
2.4.5 水凝胶的持水力分析 14
2.4.6 水凝胶的温度响应性分析 15
2.4.7 水凝胶的金属阳离子响应性分析 15
2.4.8 水凝胶的pH响应性分析 16
第3章 结论、创新点和展望 18
3.1 结论 18
3.2 创新点 18
3.3 展望 18
参考文献 19
致 谢 22
附录A 23
附录B 24
第1章 绪论
1.1 引言
凝胶是一种具备粘弹性的类固体材料,它由溶剂和弹性的交联网络构成,凝胶因子之间彼此连接构成空间网状结构,将溶剂束缚在其中,使其不能自由流动,因而凝胶的性质介于液体和固体之间,既拥有一定的弹性,外表呈现为固体或半固体,内部构造又容易破坏,拥有较差的机械强度。溶液或者溶胶转变成凝胶的过程称为凝胶作用。在日常生活中,凝胶存在于各个领域,比如食品、药品、化妆品、军事及航天领域、工业及建筑绝热领域等,生活中常见的果冻、豆腐、牙膏、化妆品等物品都是凝胶,人体也可看做凝胶的组合体,细胞膜、血管壁及毛发、皮肤、肌肉等都可看作凝胶。1974年,Flory[1]从流变学角度定义了凝胶:凝胶在时间尺度上是持久的,在空间尺度上是结构连续的,在特定应力的作用下其流变学特性类似于固体。按照凝胶的来源、介质、凝胶因子的结构和相互作用的不同,可以将其分为不同的类型[2]。按照来源的不同,可分为天然凝胶和合成凝胶;按照介质的不同,可分为有机凝胶、水凝胶、气凝胶和离子液体凝胶;按照凝胶因子结构的不同,可分为超分子凝胶和高分子凝胶;按照凝胶因子间相互作用的不同,可分为物理凝胶和化学凝胶。聚合物长链间的不可逆共价键相互作用形成交联网络,构成化学凝胶,不溶不熔,力学性能较好,具有较为稳定的性质,但一经破坏就很难进行自我修复[3]。而物理凝胶是由动态大分子间的链缠结或者凝胶因子间经过非共价键的作用进行交联而形成的,如氢键作用、静电作用、pi;-pi;堆积、疏水作用等超分子的相互作用[4,5],在受到外力破坏后,通常能够进行自修复而恢复原状,和溶胶间的转化大多数是可逆的,具有一定的环境响应性。因此,超分子凝胶也属于物理凝胶。
1.2 超分子水凝胶
法国化学家J. M. Lehn[6]在1973年首次提出了“超分子化学”的概念,他指出:“基于共价键存在着分子化学领域,基于分子组装体和分子间键而存在着超分子化学”。超分子水凝胶就是综合应用传统化学合成技术和现代超分子组装技术而创造出来的一类物质[7]。超分子水凝胶通常是由两种或者两种以上的溶质分子通过非共价键的相互作用,如氢键作用、静电作用、pi;-pi;堆积、疏水作用等,聚集在一起形成聚集体,发生缠结,进而构成空间网状结构,将水分子包裹在其中[8],降低其流动性,从而转变成凝胶形成的,所以超分子水凝胶是物理凝胶的一种。通常情况下,溶质分子在分子间作用力下的聚集是一种自发行为,形成各种各样的聚集体,其过程不可控,因此这种现象又被称为自组装[9]。超分子水凝胶的自组装能够自我矫正及修复,具有可逆性。和高分子水凝胶相比,超分子水凝胶拥有良好的触变性,因为超分子水凝胶中的非共价键的活化能很低,容易形成或破坏。当温度、pH值、离子强度、光照强度、磁场强度等外界环境突然改变时,超分子水凝胶极易对各种环境刺激做出相应的响应,造成超分子水凝胶中的非共价键被破坏,交联网络解缔,束缚的溶剂被释放,进而使得凝胶的体积发生改变,产生凝胶-溶胶转变,最终改变超分子水凝胶的性质[10-14]。而这种响应一般是可逆的,如果对溶胶再次施加相应的刺激,溶质分子间会产生组装-解组装-再组装的现象,重新形成空间网状结构,溶胶变为凝胶。超分子水凝胶的这种环境响应性使其能够作为环境响应性材料使用,在智能控释、光电材料、分子识别、仿生材料等领域得到广泛的应用。按照构筑方式的差异,可将超分子水凝胶大致分为基于凝胶因子的超分子水凝胶和基于主客体包合物的超分子水凝胶两种[15]。
1.2.1 基于凝胶因子的超分子水凝胶
低分子量有机凝胶因子(Low Molecular-mass Organic Gelators, LMOGs)是指一类在较低浓度下能使溶剂凝胶化的小分子有机化合物[16]。凝胶因子在氢键作用、静电作用、疏水作用等分子间力的作用下,会进行自组装,形成纤维状、棒状或带状等形状各异的聚集体,进而相互发生缠结形成空间网状结构,将溶剂分子包裹在其中,构成结构高级有序的超分子凝胶体系。目前,生物材料有很大的发展潜力,人们开始把目光从有机凝胶因子投向水凝胶因子,它能够在水溶液中进行自组装使其凝胶化,形成超分子水凝胶。按照水凝胶因子的分子量能够把它分为小分子水凝胶因子和聚合物水凝胶因子,而按照官能团的不同,小分子水凝胶因子又可分为下列几类:
1.2.1.1 氨基酸类凝胶因子
蛋白质是生命的物质基础,而氨基酸是蛋白质的重要组成部分,又因为天然氨基酸拥有很好的生物相容性、容易降解且廉价易得,所以基于氨基酸类凝胶因子的超分子水凝胶的应用十分广泛[17],当前人们对于氨基酸类衍生物凝胶因子的研究也最为深入[18],目前缬氨酸类衍生物、赖氨酸类衍生物、异亮氨酸类衍生物、丙氨酸类衍生物、谷氨酸类衍生物、胱氨酸类衍生物和色氨酸类衍生物等研究的较为普遍。
1.2.1.2 葡萄糖类凝胶因子
葡萄糖为活细胞提供能量,而细胞进行新陈代谢时也会产生葡萄糖,具有十分良好的生物相容性,同时也是自然界中分布最广的一种单糖,来源十分广泛,而因为葡萄糖类衍生物中具有许多羟基,分子间能产生很强的氢键,它也被广泛的作为凝胶因子而应用[19-21]。
1.2.1.3 金属有机类凝胶因子
有机小分子和金属离子在配位作用下形成的有机金属配合物和具有金属-碳共价键的有机金属化合物同样也是小分子水凝胶因子中十分重要的一种,这类凝胶因子形成的超分子水凝胶的机械强度和热稳定性能较高。
1.2.1.4 双组份凝胶因子
在大多数超分子凝胶体系中,凝胶因子为单一组份,近年来,人们对于双组份凝胶因子的研究也日益增加。在多组份凝胶体系中,双组份凝胶体系是最简单的一种,它是由两种小分子凝胶因子在非共价键的作用下形成凝胶体系[22],因而研究也更为广泛,本论文研究的即为双组份凝胶体系。根据组份是否具有凝胶能力,可将双组份凝胶体系分为下列三种:①每种组份都具有凝胶能力,都可单独形成凝胶;②每种组份都不具有凝胶能力,都不可单独形成凝胶;③一种组份具有凝胶能力,能够单独形成凝胶,而另一种组份不具有凝胶能力,可以作为添加剂来改变凝胶的性能[23]。其中最常见的双组份凝胶体系由两种非胶凝剂制备而成,先将其混合形成复合物,进而在溶剂中通过自组装形成聚集体,然后构成空间网状结构包裹住溶剂,最终形成稳定的超分子水凝胶。两种小分子之间的摩尔比不同,形成的超分子水凝胶的性质也不同,调节凝胶因子的摩尔比可以对凝胶的性质进行灵活的调整,而对凝胶因子进行结构修饰可以对凝胶施加新的功能性[24]。
1.2.2 基于主客体包合物的超分子水凝胶
在形状大小和能量全都匹配的条件下,主体分子和客体分子通过分子间非共价键的作用进行选择性的结合,同时产生特定的性质和功能的过程叫做主客体作用[25]。主、客体分子通过主客体作用进行包结络合形成主客体包合物,改变客体分子的各种理化性质,可以调控主客体包合物的包合与解包合,而主客体分子间的几何匹配情况也会影响包合物的形成[26]。常见的主体分子有杯芳烃、冠醚、柱芳烃、环糊精、葫芦脲等,客体分子有金属离子、聚合物、有机小分子等。基于主客体作用对主、客体分子进行修饰,使得包合物可以模拟早已存在于自然界中的物质的独特性质形成器件,比如导电材料、纳米材料、缓释材料等,由此可见,基于主客体包合物的超分子水凝胶具有很大的研究潜力。
1.2.3 超分子水凝胶的制备方法
通常制备超分子水凝胶,要先向水中投入适量的凝胶因子,加热搅拌形成溶液,然后使溶液的温度下降到凝胶体系的相转变温度(Tgel)以下,溶液逐渐不再流动,发生溶胶-凝胶转变,生成凝胶。凝胶因子受热溶解后形成的溶液为过饱和溶液,若该过饱和溶液冷却后,凝胶因子发生高度有序的聚集形成晶体,则溶液发生结晶化;若凝胶因子发生随机无序的聚集,则形成沉淀;当凝胶因子的状态介于上述两者之间时,则形成超分子水凝胶[27]。
1.2.4 超分子水凝胶的表征方法
随着超分子化学的不断发展,人们对于凝胶因子的研究越来越深入,并使用多种手段对超分子水凝胶进行表征,使该研究领域的发展得到了有力的促进。
1.2.4.1 波谱分析
光学分析方法是一类按照物质发射或吸收电磁辐射以及物质与电磁辐射相互作用来对待测样品进行分析的方法,该方法选择性和灵敏度都很高,用途广泛。光学分析方法可分为光谱法及非光谱法两大类方法,其中利用物质的光谱特征,对其进行定性、定量及结构分析的方法为光谱法。分子选择性吸收某些波长的红外线,引起分子中振动能级和转动能级的跃迁,检测红外线的吸收情况可以得到该物质的红外光谱。红外光谱经常被用来研究氢键消失和形成的过程,在研究凝胶因子自组装的过程中官能团间的相互作用时得到广泛应用。
1.2.4.2 显微分析技术
电镜是打开微观世界大门的一把钥匙。在一般情况下,肉眼能够观察到的物体大小的最低限度是0.2 mm左右,为了研究更小物体或物体的细微结构,人类发明了光学显微镜,但光学显微镜的极限分辨率有限,为了得到分辨率更高的显微镜,必须采用波长更短的波,人们将电子作为光源,发明出拥有很高的极限分辨率的电镜。扫描电子显微镜(SEM)可以提供凝胶因子的聚集体的几何形貌[28],但由于它要求被测样品保持绝对干燥,超分子水凝胶在测试前必须用冷冻干燥机除去其中的水分,使其成为干凝胶。
1.2.4.3 流变学方法
超分子水凝胶由于其内部的空间网状结构而具有独特的平衡和动态流动性,通过流变学方法,可以测定它的一些宏观性质。相转变温度(Tgel)是分析凝胶性质的一个关键参数,可由落球法测出。
1.2.4.4 热分析
利用程序控制温度,当温度改变时,测量物质的物理性质根据其变化的一种技术叫做现代热分析。热分析技术可以通过放热、吸热等热量变化来判断物质发生的相变和化学变化,也可以通过体系质量的变化来判断物质发生的分解、升华等反应。对于自组装和解组装来说,温度是一个重要的参数,差示扫描量热计(DSC)法能够测定凝胶体系在不同温度下的热量和重量的变化,进一步得到凝胶在不同温度下的性质变化[29]。
1.3 环境响应性凝胶
按照水凝胶对于外部环境刺激的响应状况,可以将其分为传统型水凝胶和智能型水凝胶两大类:前者不会随外界环境的变化改变自身的理化性质,不产生响应;后者能感知外界环境变化,理化性质发生相应的变化以应对刺激,当环境恢复原状时,理化性质也恢复原状,因此又可将智能型水凝胶称为环境响应性水凝胶。由于非共价相互作用具有动态性,基于环境响应性水凝胶的生物功能材料可以对各种生物、化学、物理刺激做出反应,如温度、pH值、离子强度、光照强度、配体-受体相互作用等[30],因此它在生物传感器、组织工程、药物输送、化学吸附等生化医学领域具有很大的前景。
1.3.1 温度响应性
温度响应性凝胶对外部环境温度的变化十分敏感,通常为单体具有温敏性的聚合物水凝胶,因为氢键的形成或者破坏受到温度的影响,所以当温度发生改变时,大分子链的构象也会改变,因此凝胶形状和体积也会产生突然的变化。根据溶胀原理,通常将温度响应性凝胶分为两大类:一类是热缩型凝胶,另一类是热胀型凝胶。在温度升高时,由于氢键被破坏,前者发生脱水,大分子链发生塌缩,产生沉淀;而后者的溶胀度则随着温度的升高而增大,体积发生膨胀。目前人们研究较多的为热缩型凝胶,这一类凝胶拥有最低临界溶解温度(lower critical solution temperature, LCST),当外部环境的温度比LCST高的时候,氢键被破坏,凝胶会发生脱水并进行相转变;当外部环境的温度比LCST低的时候,聚合物链上的亲水基团能够和水分子间产生超分子作用形成氢键,凝胶中的大分子链会呈现出线团的舒展状态,进一步在水中溶解。通常可以通过引入亲水性单体或引入疏水性单体分别来提高或降低温度响应型凝胶的最低临界溶解温度[31-34]。
1.3.2 pH响应性
当外部环境的pH值发生改变时,因为阴阳离子间的电荷作用,pH响应性凝胶的形状和体积会根据变化产生相应的改变。pH响应性凝胶中通常拥有很多容易质子化或者容易水解的弱酸性或弱碱性基团,如磺酸基、氨基、羧基等。一旦外部环境中的离子强度或者pH值发生变化,这些弱酸性或弱碱性基团就会发生电离,通过释放或者夺取质子,使凝胶中或者外部环境中的离子强度改变,进而使得大分子链间的氢键作用变化,渗透压失衡使得水凝胶的体积和溶解度发生改变[35]。
1.3.3 场响应性
场响应性凝胶一般分为电场响应性凝胶和磁场响应性凝胶两大类。电场响应性凝胶可以感知电场强度的变化,凝胶体系的性质会产生相应的改变。大多数电场响应性凝胶的凝胶因子为聚电解质高分子,具有可离子化的基团,当施加电刺激时,凝胶内部有离子键及共价键的断裂和氢键等非共价键的破坏,凝胶体系内的自由离子会进行定向移动,使凝胶中或者外部环境中的离子浓度改变,进而使得大分子链间的氢键作用发生改变,渗透压失衡使得水凝胶的体积和溶解度突然改变。导电高分子的存在也会导致凝胶的体积和溶解度变化。
磁场响应性凝胶对磁场具有响应特性,当外部环境的磁场强度突然变化时,凝胶的体积会发生相应的变化,进行收缩或者溶胀。磁场响应性凝胶中通常包含着磁性微粒子,引入磁性微粒子的方法有两种[36]:一种是在凝胶成型后引入,将凝胶在铁盐溶液中浸泡,再加入碱液原位生成磁性纳米粒子从而得到磁场响应性纳米复合水凝胶[37];另一种是在凝胶成型前引入,将Fe3O4磁性纳米粒子加到凝胶化反应液中得到磁场响应性纳米复合水凝胶[38]。在磁场的作用下,凝胶体系中的磁性粒子会进行发热,造成凝胶局部的温度上升,氢键被破坏,凝胶的体积会产生变化。在非均一的磁场中时,当磁场梯度改变时,凝胶也会做出相应的动作,例如伸长、弯曲变形、收缩等[39]。
1.4 本论文的研究目的及意义
超分子化学是研究两种及两种以上的化学物种通过分子间力相互作用缔结而成的具有特定结构和功能的超分子体系的科学[40],超分子水凝胶就是基于超分子化学创造出来的一类物质。由于超分子水凝胶在仿生材料、智能控释、光电材料、分子识别等领域的应用日益广泛,从事相关研究工作的科研人员也越来越多。
以上是毕业论文大纲或资料介绍,该课题完整毕业论文、开题报告、任务书、程序设计、图纸设计等资料请添加微信获取,微信号:bysjorg。
相关图片展示:











