基于Android的购物APP系统设计与实现毕业论文
2020-02-16 22:16:50
摘 要
本文设计并且实现了一个基于Android平台的购物APP系统,为用户提供手机购物的服务。该系统能够实现完成登录注册、查看并查找商品、生成订单等一系列功能,实现了从基于Android移动端的购物的功能。该系统可以满足使用Android移动端的购物者进行电子商务的交易。本文分为四个主要部分:(1)Android开发基础知识的学习介绍和开发平台Android Studio的学习介绍;(2)基于Android的购物APP系统的设计,包括功能模块的设计和数据库的设计;(3)基于对该系统的设计工作成果,用Android Studio开发平台实现该系统;(4)对实现的系统进行系统测试,包括单元测试、功能测试,以确保整个系统中所有功能都能正确实现并使用,经过反复的测试和修改,最终测试结果为各个功能都能正常工作。本文在完成了基本功能的基础上,添加了一些辅助的功能,使系统更加完善,给用户提供更好的用户体验。
关键词:Android;移动终端;购物APP;
Abstract
This paper designs and implements a mobile shopping system based on Android platform, which provides mobile shopping services for users. The system can complete a series of functions, such as login to the system, view and find goods, generate orders, and realize the shopping function from Android mobile terminal. The system can satisfy the need for e-commerce transactions by Android mobile shoppers. This paper is divided into four main parts: (1) introduction of relevant basic knowledge and development platform; (2) design of shopping APP system based on Android, including functional module design and database design; (3) implementation of the system using Android Studio development platform based on the design work of the system; (4) system testing of the system, including units. Testing, function testing and interface testing to ensure that all functions in the system can be correctly implemented and used. On the basis of completing the basic functions, this paper adds some auxiliary functions to make the system more perfect and provide users with better user experience.
Key Words:Android;mobile terminal;shopping APP
目录
第1章 绪论 1
1.1 研究背景 1
1.2 研究目标与意义 2
1.3 国内外研究现状 2
第2章 相关知识介绍 3
2.1 Android基础知识介绍 3
2.1.1 Android发展和简介 3
2.1.2 Android四层架构 3
2.1.3 Android四大组件 4
2.1.4 intent 4
2.1.5 数据存储 4
2.2 开发环境的介绍 5
2.2.1 JDK 5
2.2.2 Android SDK 5
2.2.3 Android Studio 6
2.3 Java语言相关知识介绍 6
第3章 系统分析与设计 7
3.1 系统功能需求分析 7
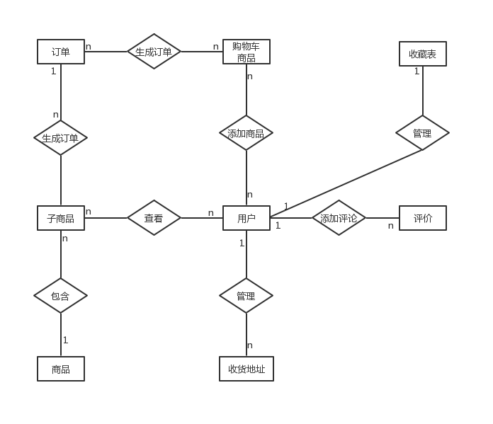
3.2 数据库设计 9
3.3 用户管理模块设计 13
3.4 购物(商品浏览)功能设计 15
3.5 订单模块功能设计 16
3.6 个人中心模块功能设计 17
3.7 界面设计原则 18
第4章 系统的实现 19
4.1 Android系统应用程序开发步骤 19
4.2 数据库的实现 19
4.2 图片的处理 21
4.3 自定义列表的实现 22
4.4 验证码的实现 23
4.5 用户管理模块的实现 25
4.5.1 登录功能的实现 26
4.5.2 注册功能的实现 26
4.5.3 退出登录 26
4.6 购物(商品浏览)功能的实现 27
4.6.1商品分类功能实现 27
4.6.2搜索商品功能实现 27
4.6.3查看商品详情实现 28
4.6.4商品收藏功能实现 29
4.7 订单模块功能的实现 29
4.7.1 生成订单功能实现 29
4.7.2 删除订单功能实现 30
4.7.3 浏览订单功能实现 31
4.7.4 订单评论功能实现 31
4.8 个人中心模块功能的实现 31
4.8.1 我的订单功能实现 31
4.8.2 我的收藏功能实现 31
4.8.3 我的评论功能实现 32
4.8.3 我的地址功能实现 32
4.8.4 修改个人信息功能实现 33
第5章 系统测试 34
5.1 单元测试 34
5.1.1 添加测试支持 34
5.1.2 添加单元测试类 34
5.2 功能测试 35
5.2.1 用户管理模块的测试 35
5.2.2 购物(商品浏览)模块的测试 35
5.2.3 订单模块的测试 35
5.2.4 个人中心功能测试 36
5.3 本章总结 36
第6章 总结与展望 37
6.1 总结 37
6.2 展望 37
参考文献 38
致谢 38
第1章 绪论
该章节的主要内容是对本文研究内容背景的介绍,研究方向的国内外现状的介绍,最重要的是本文的研究目的和意义。通过本章的内容,可以使读者大致了解到本文的研究方向以及该方向的相关现状。
1.1 研究背景
近年来,随着网络基础设施的大面积覆盖,人们从中获得了极大的便利,尝到了互联网给大家带来的好处,人们更是希望无时不刻的从网上很容易的获得自己想要的信息和数据,由此移动互联开始了从无到有的飞速发展。4G时代的开放甚至5G技术的出现以及移动终端设备的出现势必使移动互联网迅速发展。
从互联网使用情况来看,我国互联网络信息中心( CNNIC)在2019年2月28日发布的第43次中国互联网发展状况统计报告中提到,截至2018年12月,我国网民规模达8.29亿,普及率为59.6%。其中,移动互联网用户数达到8.71亿,通过手机上网的互联网用户比例高达98.3%[1]。表明我国的移动互联网用户群体庞大且越来越多,但是电脑的使用人数是在下降的。是什么原因造成这种现象的产生,我认为,首先手机本身的优势,手机和电脑相比,质量更轻,体积更小,续航时间更长,方便人们随身携带,这无疑增加了手机的使用量。其次,现在的智能手机完全可以完成很大一部分之前只有电脑才能完成的操作,手机可以说在一定程度上能取代电脑,尤其是那些只用电脑来进行通讯、浏览信息的电脑用户。所以手机用户数量激增,而电脑的用户却有所下降。而手机用户用手机上网可以进行很多方便的操作,其中移动网络购物用户数达到5.57亿,表明移动网络购物是非常普遍的,人们手机购物的行为已经成为一种生活方式。
近几年来,淘宝、阿里巴巴、京东等移动终端购物APP每年都会有巨大的交易额,庞大的用户群,得益于移动互联网的发展和普及、网上支付的高安全性、购物方便便携,操作简单。网上支付是推动移动购物发展的重要因素。人们从一开始对网上支付的担心和疑惑,到现在的支付全凭手机,人们逐渐认可了网上支付的支付方式。这在很大程度上推动了网上购物的发展。
从Android系统的角度来看,自从安卓系统问世以来,安卓操作系统的手机数量激增,很多手机厂商尤其是国内的手机厂商近几年来都在推出自己的独特的安卓操作系统,并且做的非常成功,吸引了大量的用户,也使得安卓操作系统在所有的手机操作系统中独领风骚,在数量上有明显的优势。
1.2 研究目标与意义
基于Android的购物APP系统的设计及实现,目的是在Android平台下设计与实现出一款能够满足用户查找商品、添加购物信息以及下订单的购物系统。
从电子商务方面,随着互联网的发展,电子商务势必会越来越发达,影响着人们的购物方式会慢慢从线下转到线上;在时间就是金钱的当下社会,有很大一部分人群没有时间花费时间去商场购物。越来越忙碌的社会,人们不愿意把珍贵的休息时间去花费在出门购物上面。所以线上购物APP给越来越多的人提供便利,节省时间;现在确实有一些购物网站,开发APP的意义是APP比网页更加安全,风险小,方便专业;网上购物可以很大程度的调配地区问题,线下购物只能买到自己能够去到的地方的商品,而我们能够去到的地方总是有限的,而线上购物可以购买到全国各地甚至国外的商品。所以这样的系统的设计及实现是非常有意义的。
1.3 国内外研究现状
电子商务研究现状:以物品交换为核心的电子商务,是一种商务型活动,是在以网络技术为基础构建的;通俗的讲,就是买家在互联网上获得商品信息、卖家在互联网上提供商品信息,双方在互联网上进行电子交易的活动。
我们大多数人对于电子商务的理解都来源于国内大各大购物APP平台,比如淘宝、天猫等。因为这是我们接触最多的商品交易平台。电子商务的现状,我想我们自己也能感受的到,这些平台每天都会有很大的交易额。如果说从交易额方面来看不够直观,那么我们可以观察我们身边人的生活,几乎每天自己的同学和朋友中都会有人去取快递,离自己最近的快递点每天都热闹非凡。更不用说电商的狂欢节,一天的交易额竟然能达到将近二十个亿,这是一个多么庞大的数字。由于网上购物给人们带来的便利,越来越多的行业加入到电商平台中,比如网上药店、网上超市等等,在网上下完订单当天就能送到,给人们的生活带来了极大的便利。
Android研究现状:Android是基于2007年11月5日Google公开宣布的Linux系统平台的开源移动操作系统。2008年9月23日,Google发布了Android操作系统中的第一个正式版本:Android 1.0,发展到如今的Android 9.0[2]。安卓操作系统的发展迅速的原因在于它的源代码的开放性。任何国家和个人都可以在其源代码的基础上,研发自己特有的操作系统。所以我们现在可以看到,市场上的各大品牌手机都有自己的基于安卓的操作系统。安卓操作系统的从出现到一跃成为全世界排名第一的手机操作系统,仅用了两年的时间。并且,它的数量仍以相当快的速度在在增长。令人高兴的是,我国的相关技术也在蓬勃发展。国产手机华为、小米等都研发出了很好的安卓手机,赢得了国内外人们的青睐。
第2章 相关知识介绍
本章的主要内容是介绍开发过程中用到的知识和开发环境,主要介绍内容分为三部分:Android基础、Android Studio开发软件和开发语言Java介绍。
2.1 Android基础知识介绍
2.1.1 Android发展和简介
Android的手机操作系统最初不是谷歌公司的而是被谷歌公司收购的,谷歌公司是比较有前瞻性的眼光,将安卓操作系统的源代码开放给大众,希望通过各方的智慧和力量,打造一个更好的移动终端的操作系统,并且成为一个标准。
2007年,安卓操作系统1.0版正式问世,由于技术不够成熟,没能够在市场上掀起很大的风浪,所以也没有更多的人去关注它。真正使该操作系统走进大众视野的是Android 1.5版本。就从这个版本开始,安卓的操作系统开始吸引大量的开发者的注意力,使其一步一步走到现在。目前最新的版本是9.0。
2.1.2 Android四层架构
在学习安卓开发之前,我们有必要了解安卓的系统该架构,这样才能知道这个系统到底是怎样的工作的。Android 系统架构包括四个部分,由上到下依次是:应用程序层、系统运行库层、应用程序框架、LINUX 内核。每个层次之间的关系是:下层为上层提供服务;上层的实现需要调用下层的功能[3]。图2.1显示了Android的四层系统架构图。

图2.1 Android的四层系统架构图
2.1.3 Android四大组件
Android应用都是由组件组成的,组件可以是一个或多个。我们用到的最多的也是最熟悉组件是activity(活动)。实际上,Android应用还可能包括服务、广播接收者以及内容提供器等组件[4]。
以上是毕业论文大纲或资料介绍,该课题完整毕业论文、开题报告、任务书、程序设计、图纸设计等资料请添加微信获取,微信号:bysjorg。
相关图片展示:









