新型苯磺酰胺类抗流感病毒药物的设计合成开题报告
2020-02-10 23:14:23
1. 研究目的与意义(文献综述)
流感是流行性感冒的简称,其主要是由不同亚型的甲型流感病毒及乙型流感病毒引起的一种急性呼吸道感染疾病。通常,根据核蛋白和基质蛋白的不同,可以将流感病毒分为三类:甲型、乙型和丙型。从流感流行的历史资料分析,乙型和丙型流感病毒抗原性相对比较稳定,甲型则是造成流行的主要病原,其病毒表面抗原比较容易发生变异,往往容易诱发重型感染。
虽然医学领域对抗流感病毒药物的研究从未间断,但是流感对人类健康和国家经济所造成的威胁依然还是巨大的。据who统计,北半球每年有不少于1亿人感染流感病毒,500万次就诊,有25-50万人死于流感,每年给人类社会造成的经济损失超过100亿美元。
截至目前,用于预防和治疗流感的药物十分有限,主要有m2离子通道抑制剂、na抑制剂和流感疫苗,但疫苗仅对已知的流感病毒亚型有作用,对于由抗原性漂移或抗原性转换所产生的新型流感病毒无效。而至今获得fda批准上市的抗流感病毒药物仅有6个,包括2个m2离子通道蛋白抑制剂(金刚烷胺和金刚烷乙胺),3个神经氨酸苷酶抑制剂(扎那米韦、奥司他韦和帕拉米韦)和1个rna依赖rna聚合酶抑制剂(索夫鲁扎)。而我国作为人口大国,人口密度大的特点使得我国成为流感高发国家,但目前国内治疗甲型和乙型流感的抗病毒药物主要为神经氨酸苷酶抑制剂:奥司他韦、扎那米韦和帕拉米韦。近年来,随着现有药物在临床上的广泛应用,m2离子通道蛋白抑制剂和神经氨酸苷酶抑制剂耐药的h5n1突变株被频繁发现,因此,对现有药物进行结构改造并力求寻找新的靶点将是今后发展的主流方向。
2. 研究的基本内容与方案
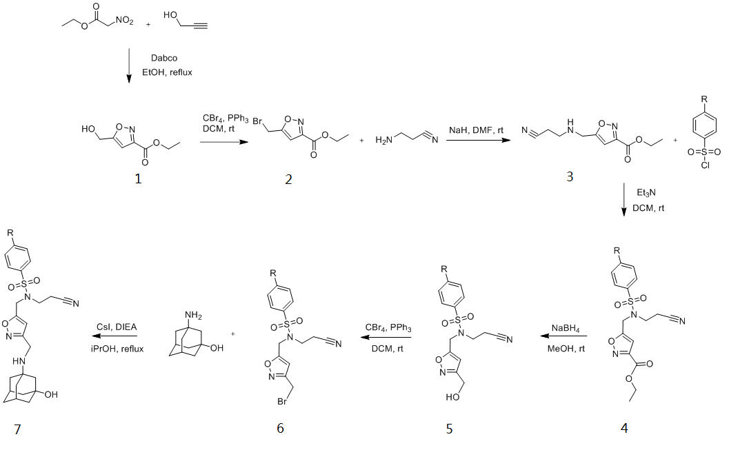
(1)合成路线

首先,炔丙醇与硝基乙酸乙酯在三乙烯二胺(dabco)催化剂作用下,生成异恶唑中间体1,接着经溴代反应生成中间体2,然后中间体2与3-氨基丙腈在氢化钠条件下经取代反应生成中间体3,中间体3和苯磺酰氯经磺酰化反应生成中间体4,接着经硼氢化钠的还原作用,生成对应的醇中间体5,5经溴代反应,生成溴代中间体6,最后溴代中间体6与金刚烷醇在碘化铯和n,n-二异丙基乙胺条件下生成目标化合物7。
3. 研究计划与安排
第1-2周:查阅相关文献资料,明确研究内容,拟定试验方法和条件。确定方案,完成开题报告。
第3-12周:金刚烷醇片段修饰过的苯磺酰胺系列化合物的合成、表征及评价。
第13-14周:完成并修改毕业论文。
4. 参考文献(12篇以上)
[1] paules, c.; subbarao, k.influenza. lancet 2017, 390, 697-708.
[2] das, k. antiviralstargeting influenza a virus. j. med. chem. 2012, 55, 6263#8722;6277.
[3] clercq, e. antiviral agents active against influenza a viruses. nat. rev. drug discov. 2006, 5, 1015-1025.


