通过制定开发设计方法来控制质量:以分散片为例外文翻译资料
2022-10-01 21:25:51


英语原文共 12 页,剩余内容已隐藏,支付完成后下载完整资料
通过制定开发设计方法来控制质量:以分散片为例
摘要
目前一个调查研究的热点问题就是发展分散片的质量研究。关键材料和工艺参数与产品的质量有着重要的联系。优化的方法是通过对产品和工艺的深入了解并提高质量,从而降低风险和提高生产力降低。风险管理目的在于进一步地理解风险,想办法去减小风险并制定控制策略,提出与风险水平相称的策略。在药品质量管理体系相结合的设计空间中,提供持续改善的机会,制定有利于病人和制造商的灵活的监管方式。分散片的优化的提出是根据目前通过质量源于设计更好的患者依从性和产品质量的研究。研究包括:一个模型II类生物制药药品的质量目标产品概况被确定;初步风险分析导致的关键质量属性的鉴定;进行与常用辅料的药物理化性质及其兼容性研究;实验设计,重点是关键材料和工艺的属性。设计空间被确定为关键水平下方的控制策略实施后所有可能的故障模式的风险因素。总之,整合使用质量源于设计工具,风险和质量管理工具从而构建分散片的质量标准是有效和高效的典范。
关键词:质量源于设计;分散片;关键质量属性 ;风险评估 ;设计空间 ;
控制策略
1 简介
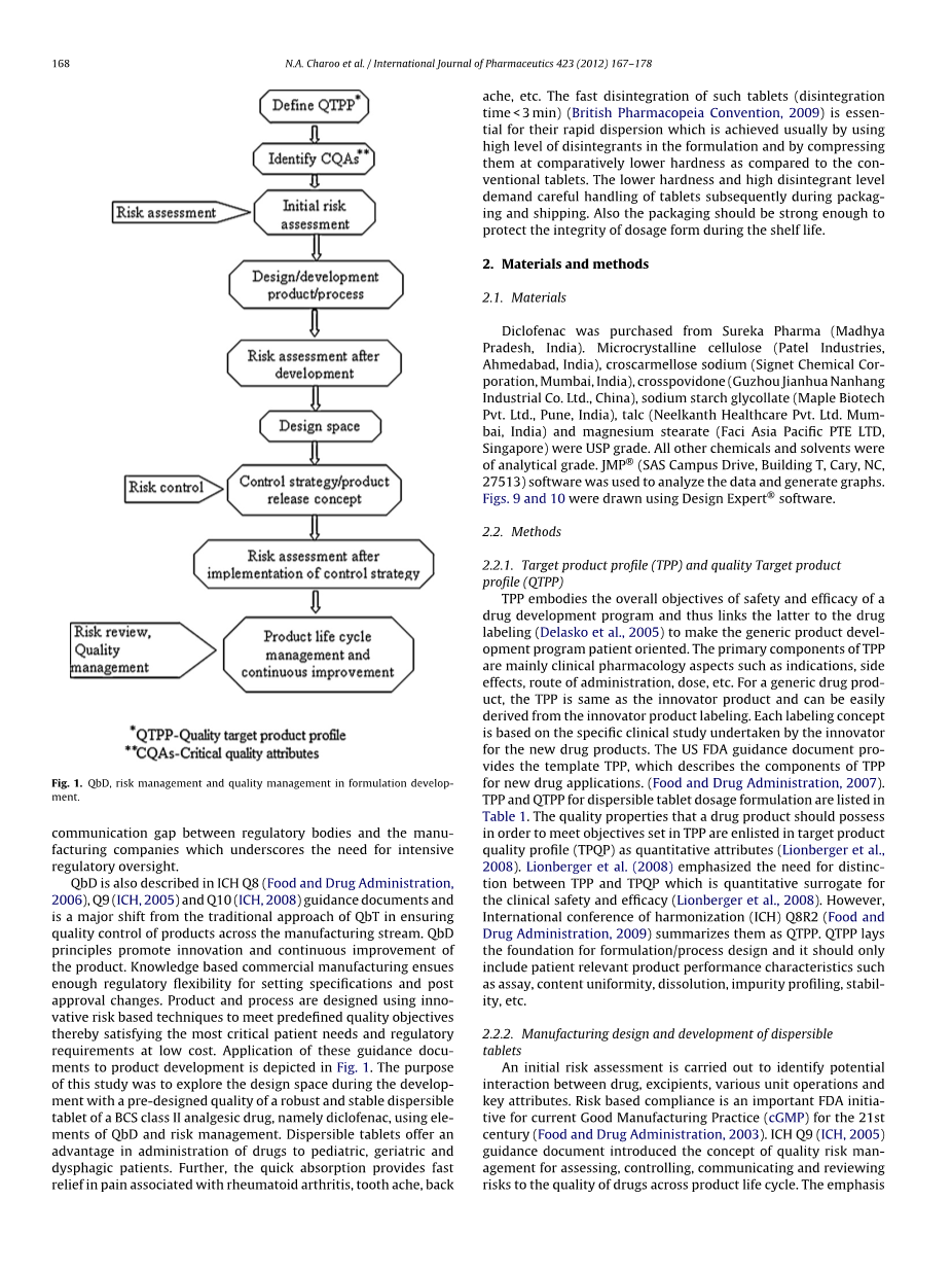
被称为威利法案联邦食品和药品法是由罗斯福总统在1906年6月(签署成为法律的1906年食品和药品法)。该行为是非法的制造和船舶掺假和冒牌药。1938年的联邦食品,药品和化妆品法案推销他们(前增加了药品批准前要求扬森,1981年)。1962年,修订(联邦食品,药品和化妆品1962年法令)作了补充要求的有效性和全面的安全测试。哈奇-维克斯曼(罗森,2005)在1984年改革后,授权简化新药申请(ANDA)批准的鼻祖药物的仿制药市场。在其主动为二十一世纪的良好生产规范(食品和药物管理局,2003),FDA发起的设计质量(的质量源于设计)和过程分析技术(PAT)的原则于2003年,建筑质量的目的到产品从一开始就制造的(食品和药物管理局,2006年)。传统的质量通过测试(QBT)的方法通过在巨大的努力和成本检查它针对在制造流的结尾的批准监管规范测试产品的质量。还有不可预测性在扩大,从研发到生产规模和失败的原因一个产品一个很大的,一般不理解。产品未能符合其规格将达到或者拒绝批次增加的成本和监管负担的批处理或返工的。批准后的变化,甚至非关键性自然会被监管当局批准前需要。对于关键的产品,批次的浪费可以在维持市场竞争方面是一家制药公司的挑战。因此,缺乏产品和工艺的理解结果的监管机构和制造企业其中强调了密集的监管需要有较大差距的沟通。
质量源于设计也在ICH Q8(描述食品和药物管理局,2006年),Q9(ICH,2005年)和Q10(ICH,2008年)的指导性文件,是由QBT的传统做法,确保整个产品的质量控制上的重大转变制造流。质量源于设计原则,促进创新和产品的持续改进。基于知识商业化生产随之而来的设置规格和批准后的变化足够的监管灵活性的产品。
风险评估
风险控制
风险预计,质量管理
图1 质量源于设计, 在制定风险管理和质量管理的流程
和过程都使用基于创新的风险的技术,以满足预定的质量目标,从而满足在低成本的最关键的患者的需要和法规要求而设计的。这些指导性文件,以产品开发中的应用中被描绘图。1、本研究的目的是用一个BCS II类镇痛药,即双氯芬酸的健壮和稳定的分散片剂的预先设计质量的发展过程中,探索了设计空间,使用的质量源于设计和风险管理的元素。分散片儿科,老年和吞咽困难的患者提供在药物管理的优势。此外,吸收快可治疗快速疼痛缓解类风湿关节炎,牙痛,背痛等,这种片剂(崩解时间lt;3分钟)的快速崩解有关(英国药典公约,2009年),是其迅速分散其中至关重要是通过使用在制剂的崩解剂的高级别和通过相比于常规片剂在相对 较低的硬度压缩它们通常实现。较低的硬度和高层次崩解片需要小心处理随后在包装和运输。也包装应该足以保护的货架寿命期间剂型的完整性强。
2 材料和方法
2.1物料
双氯芬酸是从Sureka制药(中央邦,印度)购买。微晶纤维素(帕特尔产业,艾哈迈达巴德,印度),羧甲基纤维素钠(纹章化工集团公司,孟买,印度),交联聚(孤舟南航建华实业有限公司,中国),羟基乙酸淀粉钠(华普生物技术私人有限公司,浦那,印度),滑石(Neelkanth医疗保健私人有限公司印度孟买)和硬脂酸镁(发基亚太私人有限公司,新加坡)为USP级。所有其它化学药品和溶剂均为分析纯。JMP reg;(SAS驱动器的校园建筑T,卡里,NC,27513)软件用于分析数据,生成图表。
2.2方法
2.2.1目标产品概况(TPP)和质量目标产品概况(QTPP)
TPP体现了药物开发项目的安全性和有效性的总体目标,因此后者链接到药品说明书(Delasko等,2005),使通用的产品开发计划面向患者。TPP的主要组成部分是主要的临床药理学方面,如适应症,副作用,给药途径,剂量等。对于一个通用的药物产品,TPP的是相同的创新的产品和可从创新产品标签可以很容易地导出。每个标签的概念是基于创新的新的药物产品所进行的特定的临床研究。美国FDA的指导性文件提供了模板TPP,它描述了TPP的分量新药申请。(食品和药物管理局,2007)。TPP和QTPP为分散片剂型制剂列于表1。该药物产品应以满足TPP设定目标,具备在目标产品质量配置文件(TPQP)定量属性入伍(质量性能Lionberger等, 2008年)。Lionberger等。(2008)强调(需要TPP和TPQP这对于临床安全性和有效性的定量替代区分。等,2008年Lionberger)。然而,统一的国际会议(ICH)Q8R2(食品和药物管理局,2009年)总结了他们作为QTPP。QTPP奠定制剂/工艺设计的基础,它仅应包括病人相关的产品的性能特性,例如测定中,含量均匀度,溶解,杂质分析,稳定性等。
2.2.2制造设计和分散片的发展
一个初始的风险评估进行识别药物,赋形剂,各单元操作和关键属性之间的潜在相互作用。基于风险的合规性是一项重要的举措FDA当前良好生产规范(cGMP的)为21世纪(食品和药物管理局,2003)。ICH Q9(ICH,2005年)的指导文件介绍了质量风险管理的概念评估,控制,通信和审查有关药品在整个产品生命周期中的质量风险。强调的是在风险的病人(QTPP)和努力来降低风险中相称的风险水平的知识基础的评价。质量风险管理过程的组成部分是:
(一)风险评估(它包括风险识别,风险分析和风险评估);
(二)风险控制(它包括减少风险和风险接受);
(三)质量风险管理过程的结果;
(四)风险审查。
在下面的讨论中,提供的质量的风险管理过程的一个分散的片剂剂型的开发中的应用。在风险评估,关键特性称为关键质量属性(CQAs)可能被确定在各种制造单元操作有所不同。CQAs是物理,化学,生物或微生物属性或应该是一个既定的范围内,以保证产品的质量,安全性和有效性的特性(ICH,2008 和 Glodek。等,2006年)。临界材料属性(CMA)用于药物物质,赋形剂中的属性和处理材料。CQAs从QTPP和先验知识的。在开发阶段产品和过程的知识增加了潜在的CQAs也演变。风险识别是由产品开发团队运用风险管理工具,如定性评价,如失效模式影响分析(FMEA),故障树分析(FTA)(农业1997年美国食品和药物管理局/美国农业部),危害分析与关键控制点(HACCP)(WHO技术报告,2003年 和 英国标准BS,2002年),危险可操作性分析(HAZOP)(英标BS,2002年),预先危险性分析(PHA)(埃里克森,2005年),风险定位,故障模式影响及危害性分析(FMECA)(国际制药工程协会,2010 和 Haimes等,2002),风险排名和过滤(Haimes等,2002)等。我们的目标是找到有害事件,其原因,发生,其影响和探测能力的可能性。被评为风险(高,中,低或1-10分)基于风险的产品的潜力。风险优先数(RPN)的所有首先出席了关键事件和事件高RPN号产生的。表2列出了低可溶性/高渗透用PHA药物(BCS II类)的分散片的初步风险评估(埃里克松,2005年)。质量属性和可能的危害(API,赋形剂和工艺属性)从QTPP入选,处方研究,并与同类剂量配方的工作经验。危险和发生概率的严重程度进行评分,并桧山修(给出进行风险等级桧山,2009年)。直接压缩是最简单的可用过程,被认为是最适合这种剂型。药物的颗粒大小会影响BCS II类药物,最终的混音和含量均匀度的流动性的生物利用度。应为自由可流动的直接压缩过程中的稀释剂和应该或者有助于崩解或不与崩解剂作用干扰。生产过程中应确保快速崩解性和片剂剂量单位的一致性。作为一个分散的片剂剂型,润滑水平,润滑时间和硬度窗口必须被定义为崩解时间(DT)是这些参数敏感。初始文献检索和处方的研究显示,药物对湿气敏感,因此包装必须是健壮保护产品(图2)。此外,该药物处理和制造应在环境低于60%RH下进行。
差异性溶解方法的设计可能是该药物在体内表现的指标。双氯芬酸具有低于pH 6一个非常低的溶解度其通过非常低的药物释放确认而高于pH 6.8它是高度可溶(Chuasuwan等人,2009年),因此900毫升pH 6.8的磷酸盐缓冲液被选定为溶解介质。75转的搅拌速度找到适合携带常规质量控制测试和平板电脑之间的变体提供歧视的潜力。基于对双氯芬酸剂型溶出度以上的介质上的等效研究专着已经出版(Chuasuwan等人,2009年)。虽然双氯芬盐是高于pH 6.0高度可溶,它们是非可口且当分散体的形式采取会刺激喉咙。因此游离酸被认为是为研究对象。原料药生产企业的质量体系和控制策略,确保符合纯度,残留溶剂,水分和稳定性规范。微晶纤维素(MCC),羧甲基纤维素钠(CCS),交聚维酮,羟基乙酸淀粉钠(SSG),分别选择滑石和硬脂酸镁制备可分散片剂剂型。赋形剂的初始选择是基于具有类似的剂型,该剂型的所需特性和降解机理的知识,如与乳糖胺的相互作用的经验(David等人,1998)。微晶纤维素被选定作为填料由于其良好的流动性,直接可压缩特性和崩解性质的因毛细作用。
此外,类似的赋形剂也已在双氯芬酸分散片市售剂型所用的“Voltarol”片剂(Votarol,产品特性综述,2011)。这将有利于双氯分散片的豁免生物等效研究作为用于获取豁免生物等效研究对这种剂型的众多标准之一是存在于测试产品的赋形剂选自批准ICH或相关国家在同一剂型中双氯芬酸的产品选择(Chuasuwan等人,2009年)。
进行药物赋形剂的相容性研究。1比具有和不具有水(%):药物用在1个体赋形剂研磨。将样品在40℃/ 75%RH下储存4周,30℃/ 65%RH下,分析药物含量和使用稳定性指示HPLC法(杂质美国药典,2007)。在任何选定的研究中的赋形剂的未观察到相互作用。药物赋形剂一个兼容性的研究是一个早期的风险降低策略,排除了可能与药物相互作用的赋形剂。
2.2.3实验设计
费舍尔设计了实验设计原则,在许多领域,包括药物开发(使用已找到的应用程序费舍尔,1926年)。药物产品的开发设计成得到的产品性能最大知识系统在宽范围的材料和工艺的属性。一些常用的实验设计是因设计(阿姆斯特朗,1998年),连续单纯技术(采用Plackett和缅,1946年),门襟缅(阿姆斯特朗,1998年 和 采用Plackett和缅,1946年),箱Behnken设计响应曲面法(阿姆斯特朗,1998年),D和I最佳化的技巧(阿姆斯特朗,1998年)。采用析因设计的主要优点是,所有估计影响和相互作用是独立于其他因素的影响。以下是已经通过界定调查分散片的设计空间的不同的研究。
2.2.3.1研究1:药物颗粒大小和流动特性的微晶纤维素,崩解时间和溶解的效果
在两个层次上具有四个运行进行查找微晶纤维素水平的影响(190,220毫克每片)和药物颗粒大小(两阶乘实验eth;(90)lt;250微米,eth;(50)lt;180微米; eth;(90)lt;50微米,eth;(50)lt;10微米)上的崩解时间(DT),流动性和溶解。不同批次(批次大小:2.4千克)是通过混合微晶纤维素与药物(46.5 mg /片),淀粉羟乙酸钠制备:交联羧钠:(2.2:1)10分钟,随后3分钟润滑用1%(重量/ w)的镁在5公斤双锥混合器硬脂酸酯。该混合物在50-60ntilde;硬度10台压片机(锚标记,孟买,印度)在35转运行压缩。在pH 6.8的磷酸盐缓冲液进行溶出和药物吸收在紫外分光光度法(276nm处读取美国药典,2007)。
2.2.3.2研究2:对崩解时间和脆性超级崩解片剂硬度的影响
联羧甲基纤维素钠和淀粉羟乙酸钠是其膨胀到5-10倍,在不到30秒,并且直接压制的(超级崩解剂Shangraw和德马雷斯特,1993)。所述制剂具有恒定 的药物粒度材料(其制备eth;(90)lt;250微米,eth;(50)lt;180微米)。三个因素在两个层次析因设计(羟基乙酸淀粉钠(SSG):羧甲基纤维素钠(CCS):1.5:1; 1.5:1; 2.2:1; 2.2:1,硬度:40 N,60 N),包括八个次试验进行研究崩解片硬度对DT和脆性的影响。微晶纤维素(220毫克/片)用药物(46.5 mg /片)和崩解剂混合在5公斤双锥体混合器进行10分钟(RPM)。将该共混物润滑3分钟,用1%的硬脂酸镁,随后通过压缩在10台压缩机(锚标记,印度孟买)以35rpm的速度。
2.2.3.3研究3:崩解时间和溶解润滑油液位效果
硬脂酸镁是疏水边界润滑剂和具有提高片剂的崩解时间在高浓度的趋势,并且是混合时间敏感(侯赛因等人,1990年)。硬脂酸镁对崩解时间和溶解的效果,在0.5%,1.0%和1.5%的水平进行了研究。在SSG和CCS中1.5被使用:在制剂1(mg /片)的比例。其它赋形剂和工艺参数相同研究2。
2.2.3.4研究4:在稳定的包装材料的作用
剩余内容已隐藏,支付完成后下载完整资料
资料编号:[149951],资料为PDF文档或Word文档,PDF文档可免费转换为Word


