故障字典诊断方法在测试领域的应用外文翻译资料
2022-12-11 20:12:50


英语原文共 5 页,剩余内容已隐藏,支付完成后下载完整资料
题目-Title
故障字典诊断方法在测试领域的应用
摘要-Abstract
故障字典诊断方法被广泛应用于测试领域。通过查阅故障表格,故障字典可以检测和隔离被测装置的故障。故障字典的原理如下:首先,执行所有测试去获得每一种逻辑测试点(通常是0或1)的测试结果,并组成状态特征;然后一个接着一个查询故障字典去判定当前的状态是否和某一种特征一致,如果一致的话,被测芯片的情况符合一种错误类型。基于上文所述的方法,在故障状态下,基于PSPICE(计算机辅助电路设计程序)去仿真一个五运放的电路。通过分析仿真结果我们可以证明故障字典方法是有效的和精确的。
关键词-Keywords
故障字典,FIR(故障隔离率),FDR(故障检测率),FAR(虚警率),可测试性
正文-Body of the text
I.介绍
故障字典的方法可以及时、有效地检测和隔离故障,节省故障检测和隔离的时间开销,减少维护时间,提高系统或者设备的可用性、稳定性、安全性,减少安全开销。但是,现存的已经提出适当假设的系统建模方法,可能不可避免地产生偏差,导致检测策略可能并不能完全被应用于系统。
按照上述要求,本文提出了一种故障字典仿真方法,并且介绍了一种五运放电路作为例子去证明故障字典诊断方法是可行的和有效的。
II.故障字典诊断方法
- 故障字典的原理和方法
故障字典是一种包含了所有故障类型和相应特征的表格。
在测试点被最优化之后,被测芯片的各种故障的测试点和对应结果被制成表格,这个表
格就是故障字典,换句话说就是剔除了与未选择列一致的测试集的简化版的待测芯片关联矩阵。为了改进故障检测,有时候一致的测试结果标注为“无故障”。
故障字典使用一个可以查询的表格去检测和隔离待测芯片的故障,故障字典已经被应用于BIT的设计,也被应用于TPS设计和外部人工检修设备。
故障字典的原理应用:首先,执行所有测试去获得每一种逻辑测试点(通常是0或1)的测试结果,并组成状态特征;然后一个接着一个查询故障字典去判定当前的状态是否和某一种特征一致,如果一致的话,被测芯片的情况符合一种错误类型。
- 故障字典的标准格式
因为故障字典只存在一种形式,换句话说,本文决定直接使用Excel表格作为故障字典
的标准数据格式。
在故障字典里,主要的输入信息包括:
· 基本单位(故障);
· 测试(测试点);
· 故障的测试特征
III.故障字典的推断原理
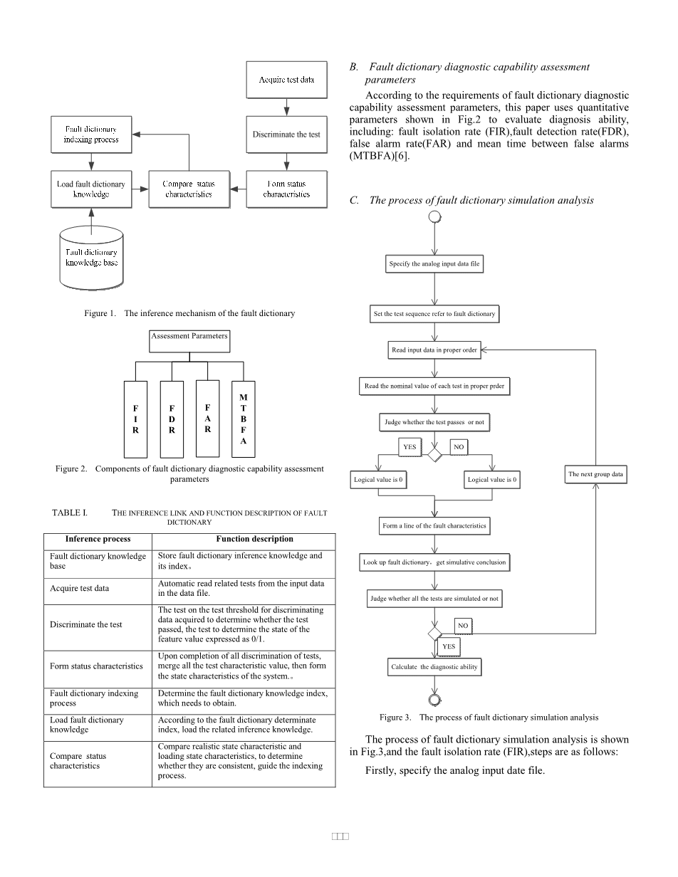
- 故障字典的推理环节
故障字典的推断原理如图1 所示,图1包括测试数据请求、以组成状态为特征的测试辨
别、故障字典标引过程、加载故障信息、状态特征的比较。
图1 故障字典的推理原理
每一个环节的功能描述如表格1所示。
具体过程:首先,获得每一个测试数据,然后辨别每一个测试以获得特征值,组成系统的特征状态;然后,确定需要被加载的故障字典索引,并根据相关的知识加载故障字典索引;最后,根据故障字典索引,比较相关的状态特征和加载的状态特征,接着加载相关的知识去推断,直到获得了结论。
表格1 推断环节和故障字典的功能描述
|
诊断过程 |
功能描述 |
|
故障字典知识基础 |
存储故障字典检测知识和他的索引 |
|
获取测试数据 |
自动从数据文件的输入数据中读取相关的测试数据 |
|
区分测试 |
用数据去判定数据是否通过 |
|
组成状态特征 |
一旦完成所有的数据辨别,组成系统的数据状态 |
|
故障字典索引过程 |
判定故障字典的知识索引 |
|
加载故障字典知识 |
根据故障字典去判定序列,导入相关的检测知识 |
|
比较状态特征 |
比较相关的状态特征和记载的状态特征,判定是否一致,引导索引进程 |
- 故障字典诊断能力的评估参数
根据故障字典诊断能力评估参数的要求,本文选择如图2所示的定量参数去评估诊断诊
断能力,包括:FIR(故障隔离率),FDR(故障检测率),FAR(虚警率)和MTBFA(发生虚警的平均时间)。
|
Assessment Parameters |
FIR |
|
FDR |
|
|
FAR |
|
|
MTBFA |
图2 故障字典诊断能力的评估参数的组成
- 故障字典仿真分析的过程
图3 故障字典仿真分析的过程
故障字典仿真分析的过程如图3所示,故障隔离率步骤如下所示:
首先,指定模拟电路输入数据文件。
其次,制作故障字典作为标准,然后设置测试序列。按照适当的步骤读入输入数据和每一个测试的值,一个一个判定当前测试是否通过。如果测试通过,逻辑值是“0”,如果测试没有通过,逻辑值是“1”。根据测试的所有逻辑值,产生故障特征行。然后一行行查询故障字典信息。当生成的行与故障特征和故障信息行符合的时候,这个与故障行一致的特征信息就是仿真诊断的结果。
然后,转到下一批数据,重复上述步骤,直到完成了所有数据的仿真。
最后,计算诊断能力。、
IV.案例分析
通过上述方法,本文使用一种五运放电路作为例子。
- 案例描述
这种五运放电路有七个模块组成:第一级运放电路,第二级运放电路,第三级运放电路,
第四级运放电路,第五级运放电路,输入滤波电路,图4所示的输出滤波电路。
图4 某种五运放电路的测试模型
- 使用Pspice去仿真这个电路模型
这个仿真模型建立在如图5所示的Pspice软件。在他们之中:输入信号是一个直流电源,
设置五个电源测试点:第一测试点, 第二测试点,第三测试点,第四测试点,第五测试点。
在它们之中,第一个测试点位于第一级运放电路的输出,第二个测试点位于第二级运放电路的输出,第三个测试点位于第三级运放电路的输出,第四个测试点位于第四级运放电路的输出,第五个测试点位于第五级运放电路末端。
C.构建某种五运放电路的故障字典
基于电路的从属矩阵,组成相同的线,移除多余的测试,然后获得如表格II所示的电路故障字典。这个输出滤波电路和第一级放大电路是模糊不清的群体,第五集放大电路和输出滤波电路是模糊不清的群体。
通过在标准状态下的五运放仿真电路的测试数据,确认每一个测试点的适当范围,然后设置适当的范围值。关于测试配置的细节信息如表格III所示。
图5 某种五运放电路的测试模型
表格II 格式示范表格
|
第一电路测试点 |
第二电路 测试点 |
第三电路 测试点 |
第四电路 测试点 |
第五电路 测试点 |
|
|
第一滤波电路输入,第一级放大电路 |
1 |
1 |
1 |
1 |
1 |
|
第二滤波电路输入,第二级放大电路 |
0 |
1 |
1 |
1 |
1 |
|
第三滤波电路输入,第三级放大电路 |
0 |
0 |
1 |
1 |
1 |
|
第四滤波电路输入,第四级放大电路 |
0 |
0 |
0 |
1 |
1 |
|
第五滤波电路输入,第五级放大电路 |
0 |
0 |
0 |
0 |
1 |
|
无故障 |
0 |
0 |
0 |
0 |
0 |
表格III 格式示范表格
|
测试名称 |
测试类型 |
测试时间 |
信号类型 |
阈值/伏特 |
|
第一测试点 |
人工 |
20秒 |
模拟信号 |
[0.026,0.0602] |
|
第二测试点 |
人工 |
20秒 |
模拟信号 |
[-0.826,0.735] |
|
第三测试点 |
人工 |
20秒 |
模拟信号 |
[1.867,4.135] |
|
第四测试点 |
人工 |
20秒 |
模拟信号 |
[-5.531,-1.067] |
|
第五测试点 |
人工 |
20秒 |
模拟信号 |
[0.797,4.208] |
D.故障字典仿真的过程和数据结果
选择70个故障模型,然后将这些故障模型注入到电路模型当中。使用逻辑值去记录这些测试数据,部分模拟数据如表格V所示。
E.计算诊断能力
基于表格IV,70个诊断结果的分析表明有66个故障被正确的检测到了,有36个故障被隔离开了。故障字典的FDR, FIR, FAR 和MTBFA评估结果被展示在表格IV中。模拟值和真实值的差距存在。
表格IV 格式示范表格
剩余内容已隐藏,支付完成后下载完整资料
资料编号:[27401],资料为PDF文档或Word文档,PDF文档可免费转换为Word


